Practice Problems
Write your answers on a separate piece of paper or on a digital document.
Practice Problems for Biochemistry, Session 2: Covalent Bonds, Hydrogen Bonds
Question 1
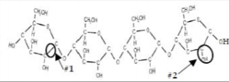
Consider the following carbohydrate.

a) Name each bond or interaction that is circled in the schematic above. Explain why you selected these options. Choose from polar covalent, nonpolar covalent, ionic, hydrophobic, van der Waals.
• Bond #1 (C-C):
• Bond #2 (C-OH):
b) Would you expect this polymer to be soluble in an aqueous environment? Explain your answer.
c) What type of bonds or interactions can occur between two such polymers? Choose from: covalent, hydrogen, hydrophobic, ionic, van der Waals. Explain your answer.
