Unit 1 Final Exam Answer Key
Since this is the final exam for this unit, it is extremely important that you do not open this until you have completed the final exam.
All correct answers are in red text.
Biochemistry Unit Exam
Question 1
a) An example of a structural representation is shown in the lower box. Draw a structural representation of the amino acid, Aspartic acid, which has the side chain of: CH2COOH.

THIS SHOULD BE YOUR DRAWING:
b) The molecule drawn above is a monomer found in proteins.
c) Below is a pentose found in RNA. On the diagram circle the hydroxyl that differs between ribonucleotides and deoxyribonucleotides. (Answer circled in blue)

d) You find an organism that lives in thermal pools with temperatures as high as 160 °F. You find that many of this organism’s proteins have a high percentage of cysteine. Briefly explain why this might be the case.
The amino acid cysteine has a terminal S – H group on the side chain. Under the appropriate conditions,
adjacent cysteines can for disulfide bonds. A disulfide bond is a covalent interaction, and these strong covalent
bonds can stabilize the tertiary and quaternary structure at higher temperatures. Because the protein structure
dictates the function, these bonds would be important for an organism that lives in thermal pools.
e) To the right is an iconic view of a phospholipid.
• List what atoms are found in a phospholipid molecule represented by the boxed region of this schematic. Describe the properties associated with this region.
You would find P, O. You would also N, C and H. The phosphate groups and the nitrogens are polar
and/or charged, which gives this region hydrophilic properties.
• List what atoms are found in a phospholipid molecule represented by the shaded region of this schematic. Describe the properties associated with this region.
You would find C and H. The hydrocarbon chains are non-polar, which gives this region hydrophobic
properties.
f)
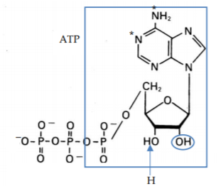
a) Box the part that is added to a growing chain of nucleic acid. (boxed in blue)
b) Star the atom(s) that can form a hydrogen bond with the complementary nitrogenous base.(starred above *)
c) Circle the part of the molecule that decreases the stability of RNA as compared to DNA. (circled in blue)
d) Draw an arrow to the part of this molecule that you would modify to prevent further elongation. Indicate what change you would make next to the arrow drawn. (arrow in blue)
Question 2
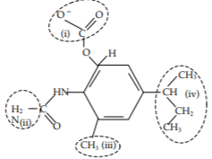
Shown below is the structure of Drug 1, that binds to the E. coli ribosome. Indicate whether each circled region could possibly form ionic bonds, hydrogen bonds, or hydrophobic interactions with another molecule by filling out the table below. Fill in the table with “yes” if that type of bond is possible, “no” if it is not.

a)
| Part | Could this part form Ionic Bonds | Could this part form Hydrogen Bonds | Could this part be involved in a Hydrophobic Interaction |
|---|---|---|---|
| (i) | yes | yes | no |
| (ii) | no | yes | no |
| (iii) | no | no | yes |
| (iv) | no | no | yes |
A representation of the drug bound to the E. coli ribosome is shown below. Three amino acids of the ribosome that are important for binding are shown. If this drug can bind to different bacterial ribosomes, it may be useful as an antibiotic. The ability of this drug to bind to the ribosomes of two different species is examined. The drug binds to the ribosome of species 1, but does not bind to the ribosome of species 2.

b) The table shows the differences between the ribosomes. Given this information, complete the table indicating which would be from species 1 (drug binds) and which would be from species 2 (drug does not bind).
2
1
c) What specific amino acid or amino acids prevents the ribosome from species 2 from binding Drug 1?
The glutamic acid at position 101.
d) In terms of the specific non-covalent interactions, explain why the ribosome from species 2 will NOT bind Drug 1, but the ribosomes from E. coli and species 1 will.
The ribosomes of E. coli and species 1 have positively charged amino acids (lysine and arginine, respectively), at position 101. Hence both can form an ionic bond with the carboxyl of drug 1. The glutamic acid at position 101 in species 2 is negatively charge and will repel the carboxyl of drug 1 and prevent binding.
Question 3
Reaction 1) A
B, where ΔG’ = +2
a) The energy profile for the reaction 1 is drawn on the axes below.
• Label A, B, and ΔG’ on the graph below. (below)
• What is the value for the energy of activation? The energy of activation for the forward reaction is 3, The energy of activation for the reverse reaction is 1.

Compare reaction 1 (above) to reactions 2 and 3 (below).
Reaction 2) C
D, where ΔG’ = -3, Energy of activation = +0.5
Reaction 3) E
F, where ΔG’ = +0.3, Energy of activation = +2
b) Which of these reactions, 1, 2, or 3 is most likely to proceed in the forward direction in the absence of an enzyme? If you do not have enough information to answer this question, write “Can’t tell” below. Explain your answer.
Reaction 2 is most likely to proceed in the forward direction in the absence of an enzyme because it is exergonic
(the ΔG is negative) and the energy of activation is low compared to the other two reactions.
c) When an appropriate enzyme is added to each of these reactions, the rate of the reaction increases. Which reaction will proceed the fastest? If you do not have enough information to answer this question, write “Can’t tell” below. Explain your answer.
You can’t tell because the rate of a reaction is a function of the enzyme, not the thermodynamics. One enzyme
may be more efficient than another, regardless of the thermodynamics of the reaction, so you do not have enough
information to answer the question.
d) Assume that you have a reaction X Y where ΔG = 0 and the energy of activation = +0.6 kcal/mole. In a cell, you find that the reaction proceeds almost exclusively in the forward direction. Explain why this might be the case.
In a cell, the product can be used as soon as it is produced. This consumption of the product prevents the
reverse reaction for occurring and drives the reaction in the forward direction.
Enzyme 1 carries out the reaction: W → X + Y. There are three regions where enzyme 1 interacts with substrate W (another protein) to facilitate the conversion of W into X and Y.
Region 1 is stabilized by hydrophobic interactions between the side chains of the amino acids found on the enzyme and substrate.
Region 2 is stabilized by hydrogen bonds between the side chains of the amino acids found on the enzyme and substrate.
Region 3 is stabilized by ionic bonds between the side chains of the amino acids found on the enzyme and substrate.
e) You have the following pairs of amino acids. For each pair given, list in which region (1, 2, or 3) this pair would act to stabilize the interaction of enzyme 1 with substrate A. If the pair could be found in more than one region, list all that apply. If the pair would not be found in any region write in the word NONE.
| Pair | Amino Acid on Enzyme | Amino Acid on Substrate | In what region or regions would the pair be found? |
|---|---|---|---|
| 1 | alanine | leucine | 1 |
| 2 | arginine | isoleucine | NONE |
| 3 | serine | methionine | NONE |
| 4 | threonine | serine | 2 |
| 5 | lysine | arginine | NONE |
| 6 | glutamine | asparagine | 2 |
| 7 | proline | valine | 1 |
| 8 | aspartic acid | lysine | 3 |
Question 4
You inoculate two test tubes with the same amount of identical growth medium and with the same number of identical yeast cells and grow these cells under identical conditions except for the presence or absence of oxygen.
a) After 12 hours, all of the glucose in each culture has been consumed. You determine the number of total cells found in each culture and find that one culture has more cells than the other.
• Which culture would have the greater cell density, the one grown aerobically or the one grown anaerobically?
Aerobic
• Explain why the culture you chose above can make more cells with the same amount of glucose than the other culture.
For a cell to grow and divide, it needs a large supply of ATP. The aerobic culture will perform respiration,
which produces about 36 ATP/glucose. The anaerobic culture will ferment which gives 2 ATP/glucose.
Thus there is more energy to make more yeast cells in aerobic conditions.
b) The cells of both cultures convert glucose to pyruvate via glycolysis, and then further metabolize pyruvate.
• Are the cells of both cultures able to obtain the same amount of ATP from glycolysis? Explain.
Yes, glycolysis does not require oxygen, and give a net 2 ATP regardless. The difference in energy
production is determined by what happen after glycolysis, i.e., respiration or fermentation.
• Under anaerobic conditions, the carbon from pyruvate will ultimately be found in which molecule?
Lactic acid or ethanol
• Under aerobic conditions, the carbon from pyruvate will ultimately be found in which molecule?
CO2
c) Under aerobic conditions, when glucose is metabolized some of the energy is used to reduce NAD+ to NADH + H+ . In the mitochondria, NADH donates its electrons to NADH-Q reductase, and from there the electrons move through the electron transport chain.
• Explain why this process requires aerobic conditions.
Each consecutive protein in the electron transport chain is more electronegative than the last. The final
electron acceptor is oxygen, which is highly electronegative.
• Briefly describe how the transfer of electrons from one protein to another in the electron transport chain results in the production of ATP.
As the electrons pass from one protein to another, H+ ions pass across the membrane to form a charge
and concentration gradient . H+ ions of the gradient flow down the charge and concentration gradient
through ATP synthase. ATP synthase can use the stored energy to make ATP from ADP.
d) In oxygenic photosynthesis, electrons from the chlorophyll found in photosystem II are donated to the primary electron carrier. How are the donated electrons replaced?
The electrons are replace by splitting water, which generates the O2.
e) Anoxygenic photosynthetic organisms make ATP using an electron transport chain, but do not produce O2 as a waste product. What is a common source of electrons for the conversion of NADP+ to NADPH for in this type of organism?
Many highly reduced compounds whose redox potential will allow transfer of electrons to NADP+ could serve as a
source of electron. One common compound is H2S.
f) Circle all of the metabolic processes that occur in organisms that perform oxygenic photosynthesis.
Glycolysis Citric acid Cycle Oxidative phosphorylation
Calvin Cycle Cyclic photophosphorylation Non-cyclic photophosphorylation
g) Both respiration and photosynthesis are evolutionarily conserved. Based upon the current understanding of how life on earth evolved, which of these processes likely evolved first? Justify your answer in the space below.
It is believed that prebiotic earth had an atmosphere that lacked oxygen. The first cells were anaerobic and likely absorbed free organic compounds from the primordial seas. At some point, free organic compounds were limiting, and cells needed a way to produce them. Photosynthetic organisms used H2S as a source of electrons to produce energy rich carbon compounds. At some point, photosynthetic organisms developed the ability to use the highly abundant H2O instead of H2S as a source of electrons, which released oxygen. The seas became saturated with O2, O2 began oxidizing the iron on land, and finally O2 began accumulating in the atmosphere. Not until significant O2 began accumulating, could respiration evolve.