Practice Problems Answer Key
DO NOT open until you've finished the assignment.
Correct answers are in red text.
Solutions to Practice Problems for Biochemistry, Session 3: Macromolecules: Lipids, Carbohydrates, Nucleic Acid
Question 1
The following structure is found in many biological systems.

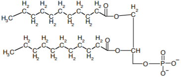
a) Name the molecule diagrammed above. Phospholipid
b) Where are these molecules found in a living cell, and what purpose do they serve? ‘
They are found as the major component in the cell membrane
c) This molecule is sometimes drawn like this: ![]()
• If you were to add many of these molecules to a glass of water shown below, draw one of three configurations these molecules would assume.
Had to have one of these three drawings 
• What is the name of your configuration? See label above
d) Explain briefly why these molecules form the structure you have drawn.
Phospholipids are amphipathic, i.e., they are molecules with two different ends. The polar end with the phosphorus and oxygen is hydrophilic and associates with the aqueous environment. The nonpolar end composed of hydrocarbons is very hydrophobic and to excludes water.
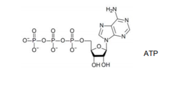
e) Another class of biological polymers contains phosphate. Draw another biological molecule that contains You should have drawn this:

f) What is the function of this molecule?
The two nucleic acids, DNA and RNA have different functions. DNA is the storage form of genetic material for most organisms. RNA is a molecule involved in the transfer of information from DNA to protein. ATP, which is drawn above, is a building block of RNA. ATP is also used as energy currency in the cell
Question 2
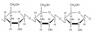
Below is a segment of a cellulose molecule. A microfibril of cellulose is composed of about 80 molecules that lie parallel to each other and close together.

What type of bond holds the parallel fibers together?
Hydrogen bonds between the hydroxyl groups attached to the carbon atom 3 on one molecule and carbon atom 6 on the adjacent molecule.
Question 3
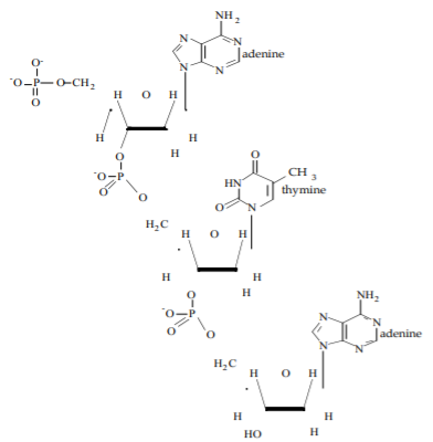
a) Is the following a polymer of DNA or RNA? Explain how you can determine this.
This is DNA because the 2’ carbon is lacking a hydroxyl (DNA = deoxyribonucleic acid) and one of the bases is thymine not uracil.

b) Which of the following arrangements is possible in an RNA molecule? The small lines represent Hydrogen bonds.

Arrangement A and B are possible because they maintain the anti-parallel direction of the two strands forming hydrogen bonds. Arrangement C is not possible because the two strands forming hydrogen bonds are parallel to each other.
