Practice Problems
Write your answers on a separate piece of paper or digital document.
Practice Problems for Molecular Biology, Session 2: DNA Replication
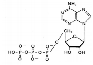
Question 1

a) Box the part that is added to a growing chain of nucleic acid.
b) Star the atom(s) that can form a hydrogen bond with the complementary nitrogenous base.
c) Circle the part of the molecule that decreases the stability of RNA as compared to DNA.
d) Draw an arrow to the part of this molecule that you would modify to prevent further elongation. Indicate what change you would make next to the arrow drawn.
Question 2
Consider the following origin of replication that is found on a chromosome. The sequence of region 1 is shown.

a) Within Region 1, which strand will be the template for leading strand synthesis, the top or the bottom?
b) If we assume that a lagging strand fragment is made from region 1, what will be its sequence?
c) You have a mutant DNA polymerase that is partially defective. In vitro experiments using the mutant DNA polymerase gives an error rate of 10-3, as compared to the expected error rate of 10-6. Which of the following activities is the mutant polymerase likely to be missing, as compared to the normal polymerase? Circle all that apply.
5’→3’ polymerase 3’→5’ exonuclease
5’→3’ exonuclease 3’→5’ polymerase
5’→3’ recombinase 3’→5’ recombinase
Question 3
Shown below is a schematic of replicating DNA in a bacterial cell.

a) On the diagram, label the 5’ and the 3’ ends of the parental DNA strands.
b) Which parental DNA strand (top or bottom) serves as a template for the synthesis of the leading strand in Region 2?
c) To which site (A, B, or both) can the primer 5’ UUGC 3’ bind?
d) The replication of which strand (top, bottom, or both) in Region 2 would be affected in the absence of RNA primase? Assume that replication has not yet initiated on either strand. Explain.
e) You perform DNA replication in a test tube (in vitro) using a single-stranded linear DNA as the template and the appropriate DNA primer. From the list below, circle the proteins that are required for one round of replication.
- Primase
- DNA polymerase
- Ribonuclease
- Topoisomerase
- Ligase
- Helicase
f) Why does the DNA of a eukaryotic cell require multiple origins of replication when some prokaryotic cell genomes have only one origin of replication?
g) The “leading strand” terminology refers to the fact that this strand is the first daughter DNA strand to be completed from a given replication fork. Explain why the leading strand is completed before the lagging strand.
h) Which of the following statements is true?
a. DNA polymerase moves along the template strand in the 3’ to 5’ direction.
b. DNA polymerase requires a primer to initiate replication.
c. DNA polymerase forms a covalent bond between a phosphate group and a hydroxyl group.
d. Polymerization of DNA for both the lagging and the leading strands is in the 5’ to 3’ direction.
e. Shortly after DNA replication has begun, you find two replication forks moving in opposite directions away for the Origin of Replication.
f. All of the above statements are true.
e. None of the above statements are true.
