Practice Problems
Write your answers on a separate sheet of paper or on a digital document.
Practice Problems for Biochemistry, Session 3
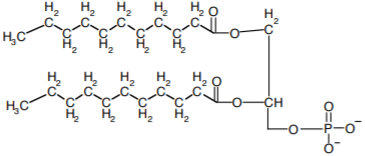
Question 1
The following structure is found in many biological systems.

a) Name the molecule diagrammed above.
b) Where are these molecules found in a living cell, and what purpose do they serve?
c) This molecule is sometimes drawn like this:![]()
• If you were to add many of these molecules to a glass of water shown below, draw one of three configurations these molecules would assume.

• What is the name of your configuration?
d) Explain briefly why these molecules form the structure you have drawn.
e) Another class of biological polymers contains phosphate. Draw another biological molecule that contains phosphate.
f) What is the function of this molecule?
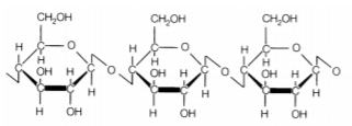
Question 2
Below is a segment of a cellulose molecule. A microfibril of cellulose is composed of about 80 molecules that lie parallel to each other and close together.

What type of bond holds the parallel fibers together?
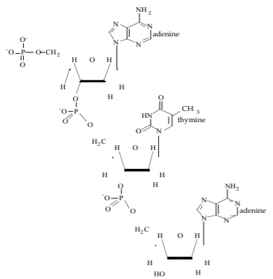
Question 3
a) Is the following a polymer of DNA or RNA? Explain how you can determine this.

b) Which of the following arrangements is possible in an RNA molecule? The small lines represent Hydrogen bonds.

