Skip to main content

About this free course

Download this course

Share this free course

Introducing vectors for engineering applications
Introducing vectors for engineering applications

Start this free course now. Just create an account and sign in. Enrol and complete the course for a free statement of participation or digital badge if available.

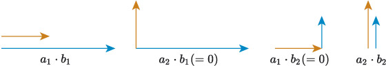
Described image
Figure 30 Interacting component vectors in the scalar product of bold a and bold b

 4.1 Scalar product of a vector from components