Skip to main content
We’re currently experiencing issues with OU account registration. We’re working to resolve this as quickly as possible.
We’re currently experiencing issues with OU account registration. We’re working to resolve this as quickly as possible.
We’re currently experiencing issues with OU account registration. We’re working to resolve this as quickly as possible.
TESS-India: All India Resources (in English)

TESS-India: All India Resources (in English)

If you create an account, you can set up a personal learning profile on the site.

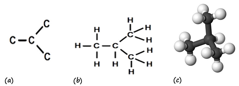
Figure 5(a) Diagram of carbon skeleton, (b) Diagram of structure and (c) Physical model of molecule

 3 Returning to different models to help understanding